728x90
반응형
그래프 문제에서 대표적인 최단 경로를 구하는 알고리즘입니다. 인공위성 GPS 소프트웨어 등에서 가장 많이 사용된다고 알려져 있습니다. 하나의 정점에서 모든 정점으로 가는 최단 경로를 알려줍니다. (단, 음의 간선을 포함할 수 없음)
응용이 많은 부분이라 기본적인 내용을 확실히 숙지하여야 합니다.
동작과정
- 출발 노드를 설정
- 출발노드 기준으로 각 노드의 최소비용을 저장
- 방문하지 않은 노드 중에서 가장 비용이 적은 노드를 선택
- 해당 노드를 거쳐서 톡정한 노드로 가는 경우를 고려하여 최소 비용을 갱신
- 위 과정에서 3~4 과정을 반복
시간복잡도
- 힙의 구조를 활용하면 : O(N * log N)
참고 사이트
- 동빈나 : https://blog.naver.com/ndb796/221234424646
- 위키백과 : https://ko.wikipedia.org/wiki/%EB%8D%B0%EC%9D%B4%ED%81%AC%EC%8A%A4%ED%8A%B8%EB%9D%BC_%EC%95%8C%EA%B3%A0%EB%A6%AC%EC%A6%98
데이크스트라 알고리즘 - 위키백과, 우리 모두의 백과사전
위키백과, 우리 모두의 백과사전. 컴퓨터 과학에서, 데이크스트라 알고리즘(영어: Dijkstra algorithm) 또는 다익스트라 알고리즘은 도로 교통망 같은 곳에서 나타날 수 있는 그래프에서 꼭짓점 간의
ko.wikipedia.org
기본코드
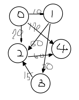
아래와 같은 그래프가 존재한다고 합시다. 0에서 시작하여 각 노드까지의 최단 거리를 구하는 코드입니다.

import java.io.BufferedReader;
import java.io.BufferedWriter;
import java.io.IOException;
import java.io.InputStreamReader;
import java.io.OutputStreamWriter;
import java.util.ArrayList;
import java.util.PriorityQueue;
class Node implements Comparable<Node>{
int n;
int dist;
Node(int a, int b) {
n = a;
dist = b;
}
@Override
public int compareTo(Node tar) {
if (tar.dist < this.dist) return 1;
if (tar.dist > this.dist) return -1;
return 0;
}
}
class 다익스크라_기본코드_단방향 {
static BufferedReader br = new BufferedReader(new InputStreamReader(System.in));
static BufferedWriter bw = new BufferedWriter(new OutputStreamWriter(System.out));
static ArrayList<ArrayList<Node>> alist = new ArrayList<ArrayList<Node>>();
static PriorityQueue<Node> q = new PriorityQueue<Node>();
static int[] best;
static int[] used;
public static void main(String[] args) throws IOException {
int n = 5;
best = new int[n];
used = new int[n];
for (int i = 0; i<n; i++) {
alist.add(new ArrayList<>());
}
alist.get(0).add(new Node(2, 70));
alist.get(0).add(new Node(1, 10));
alist.get(0).add(new Node(4, 170));
alist.get(1).add(new Node(2, 50));
alist.get(1).add(new Node(3, 20));
alist.get(2).add(new Node(4, 60));
alist.get(3).add(new Node(2, 15));
//다익스트라 초기세팅
q.add(new Node(0, 0));
for (int i = 0; i<n; i++) best[i] = Integer.MAX_VALUE;
best[0] = 0;
while(!q.isEmpty()) {
Node via = q.poll();
if (used[via.n] == 1) continue; //이미 했었던 경유지면 탈락
if (best[via.n] != via.dist) continue; //예전정보면 탈락
used[via.n] = 1;
for (int i = 0; i<alist.get(via.n).size(); i++) {
Node tar = alist.get(via.n).get(i);
//지금까지 구했던 최고의 비용보다, 더 저렴한 비용이 발견되면
if (best[tar.n] > via.dist + tar.dist) {
best[tar.n] = via.dist + tar.dist; //갱신
q.add(new Node(tar.n, best[tar.n]));
}
}
}
System.out.println(best[4]);
br.close();
bw.close();
}
}
0에서 시작하여 각 노드들의 최단 거리는 아래와 같이 빨강색 경로로 이동을하여 4까지 가는 최단경로의 거리는 105 입니다.

728x90
반응형
